This website requires JavaScript.
Explore
Knowledge base
univer-6th-semester
/
mathlogic
Code
Actions
Releases
5
Files
d61b1b7a2d35a5a8a95bf770a21405b6d39c2d44
mathlogic
/
lab4
/
report
/
img
/
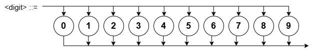
syntax_diagram_digit.png
Arity-T
207b428ad9
Лаб 4 - Матописание
2025-05-27 13:32:11 +03:00
28 KiB
626x101px
Raw
History